| ONAPSA |
| Chemical Name :: Ortho Nilro Aniline Para Sulphonic Acid |
Structure

|
| Cas No. :: 96-75-3 |
| Mol Wt. :: 218.0 |
| Mol. Formula :: C6H6N2O5S
|
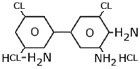
| 3,3 DCB |
| Chemical Name :: 3.3 Dichloro benzene |
Structure

|
| Mol Wt. :: 326.1 |
| Mol. Formula :: C12H10CL2N2-2HCL |
| G- Salt |
| Chemical Name :: 2Naphthol 6,8 Dipotassium Sulphonate |
Structure

|
| Cas No. :: 842-18-2 |
| Mol Wt. :: 304 |
| Mol. Formula :: C10H6K2O7S2 |
| Schaffer's Acid |
| Chemical Name :: 2Naphthol 6Sulphonic Acid |
Structure

|
| Cas No. :: 93-01-06 |
| Mol Wt. :: 224 |
| Mol. Formula :: C10H8O4S |
| R-Salt |
| Chemical Name :: 2Naphthol 3,6 Disulphonic Acid |
Structure

|
| Cas No. :: 135-51-3 |
| Mol Wt. :: 304.28 |
| Mol. Formula :: C10H8O7S2 |
| Acetyl Bronner's Acid |
| Chemical Name :: 2Acetylamino Naphthol 6Sulphonic acid |
Structure

|
| Cas No. :: 68189-32-2 |
| Mol Wt. :: 265 |
| Mol. Formula :: C12H11NO4S |